Hyundai Palisade (LX2): Motor Driven Power Steering / Repair procedures

A/S Repair produres [C-MDPS]
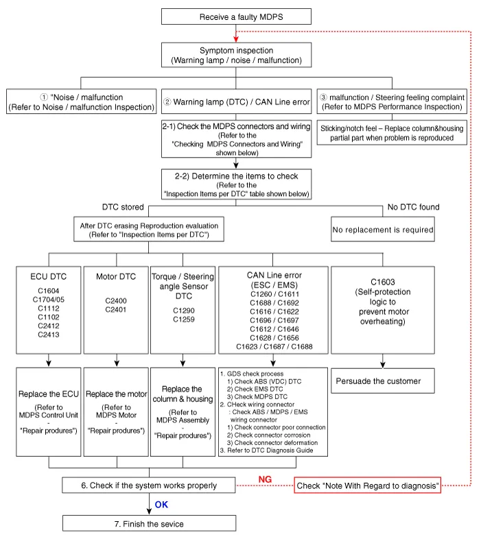
MDPS System A/S Workflow

Hyundai Palisade. Repair procedures

â‘  Noise / malfunction Inspection

Hyundai Palisade. Repair procedures

â‘¡ Warning lamp (DTC) / CAN Line error
2 - 1 Checking Connectors and Wiring
1.
Checking Connectors and Wiring.
Check for damage, push-back, or improper connection in each connector and wiring.
(1)
Check the wiring on the vehicle side.
–
Check for open / short - circuit due to faulty connection, damage, or foreign substance.

Hyundai Palisade. Repair procedures

(2)
Check the wiring on the ECU side (motor 3 - phase power).
–
Check for open / short - circuit due to faulty connection, damage, or foreign substance.

Hyundai Palisade. Repair procedures

(3)
Check the motor connector.
–
Terminal Expansion and damage

Hyundai Palisade. Repair procedures

Hyundai Palisade. Repair procedures   
•
Must be replaced the MDPS motor if occur terminal expansion and damage.
(4)
Check the motor wiring.

Hyundai Palisade. Repair procedures

Hyundai Palisade. Repair procedures   
•
Must be replaced the MDPS motor if occur damage or problem.
(5)
Remove the grommet (A) and then check the wiring on the TAS side (B) and ECU side (C).
–
Check for damage, push-back, or improper connection in each connector and wiring.

Hyundai Palisade. Repair procedures

Hyundai Palisade. Repair procedures   
Must be replaced the MDPS assembly if occur damage or problem.
Check the TAS wiring in case of C1259/C1290 DTC.
2 - 2 Inspection Items per DTC
DTC
Problem
First analysis method
How to repair
C1290
Torque sensor signal error
First erase DTC, check connector connection.
In case of reoccurrence, replace column & housing.

C1112
Torque sensor voltage error
Check connector between torque sensor and ECU.
In case of reoccurrence, replace ECU.
C1705
ECU hardware error
First erase DTC and then check, check ECU connector.
C1604
ECU over/discharge error
C2413
ECU hardware error
C2400
Motor signal error
IIn case of reoccurrence, replace motor.
C2401
Motor circuit error
C2412
Motor voltage supply error
First erase DTC and check, Check ECU/motor connector.
First replace ECU. In case of reoccurrence, replace motor.
C1259
Angle sensor signal error
After Resetting zero point & erasing DTC, check connector connection condition.
In case of reoccurrence, replace column & Housing.
C1261
Zero-setting error
After Resetting zero point, recheck.
Reset the zero-setting.
C1102
Battery voltage problem
Check battery voltage condition.
Recharge battery voltage.
C1696,C1697
SPAS signal error
Check SPAS.
Erase DTC (MDPS is not to be replaced).
C1612,C1646
TCU signal error
Check TCU.
C1628,C1656
Instrument cluster signal error
Check instrument cluster.
C1692,C1693
VSM signal error
Check VSM.
C1260
Angle sensor signal error
After resetting the angle, recheck. If C1259 does not occur, check CAN line.
Reset Angle sensor. Erase DTC.
C1611
CAN time out EMS
1. Check G-SCAN condition.
2. Check connector connection.
3. Check ECU CAN line.
4. Check MDPS ground line.
Check the EMS CAN Line.
C1616
CAN BUS OFF
Check the chassis CAN Line.
C1622
Vehicle speed signal error
Check the EMS (Engine ECU).
C1623,C1687,C1688
Can time out Steering angle sensor
1. Check MDPS Power Connector & FUSE
2. Check MDPS Ground line
3. Check MDPS ECU / VSM CAN line
4. Communication status with GDS
In case of reoccurrence, replace ECU
(Heavy steering and no communication)

â‘¢ MDPS Performance Inspection
1.
Inspect steering angle and DTCs relevant to the steering system.
2.
Inspection for heavy steering effort
(1)
Inspect tire pressure and width.
(2)
Check DTCs relevant to the CAN communication error.
(3)
Check the wheel alignment.
â‘£ MDPS common problems
Case 1
Case 2
Case 3

Hyundai Palisade. Repair procedures

Hyundai Palisade. Repair procedures

Hyundai Palisade. Repair procedures

U-Joint noise
Clock spring noise
DAB / Wire noise
Retighten the bolt
Replace clock spring
Rearrange and replace DAB

Case 4
Case 5
Case 6

Hyundai Palisade. Repair procedures

Hyundai Palisade. Repair procedures

Hyundai Palisade. Repair procedures

Multifunction switch noise
MB nut mount defect
M10 nut mount defect
Replace multifunction switch
Retighten nut
Retighten nut

Case 7
Case 8

Hyundai Palisade. Repair procedures

Hyundai Palisade. Repair procedures

Cowl top bolt mount defect
Cowl bar nut mount defect
Retighten cowl top bolt
Replace clock spring

Hyundai Palisade. Repair procedures   
Cautions to be taken when handling the MDPS (Motor Driven Power Steering)
•
Failure occurs due to internal damage because of the drop of and shock and excessive external force on the new partial component.
→ Be cautious of shock on the partial component and replace the damaged part (due to drop, etc.) with a new one.
•
When fastening the steering, excessive impact may result in twisting the center point of the torque sensor.
•
When removing/installing the connector the wiring may be damaged (deformed) by excessive external force.
•
Be cautious when storing and replacing the partial components under the abnormal temperature and humidity conditions.
A/S Repair Procedures [R-MDPS]
Column & Housing Noise Repair Guide

Hyundai Palisade. Repair procedures

R-MDPS Warning lamp Diagnosis Guide

Hyundai Palisade. Repair procedures

Inspection Items per DTC
DTC
Problem
First analysis method

How to repair
C1290
Torque sensor signal error
Check after erasing the DTC, Check torque sensor, MDPS power pack connector
Replace short gear

C1112
Torque sensor voltage error
In case of reoccurrence, replace MDPS power pack
C1705
ECU over/discharge error
C1604
ECU hardware error
C2413
ECU hardware error
C2400
Motor signal error
C2401
Motor circuit error
C2412
Motor voltage supply error
Check after erasing the DTC, Check ECU / motor connector
C1259
Steering angle signal error
Check after resetting Steering angle zero point
Check connector connection condition
C1261
Steering angle signal error
Check after resetting Steering angle zero point
Reset Steering angle zero point
C1102
Battery voltage low
Check battery voltage condition
Recharge battery voltage.
C1696,C1697
SPAS signal error
Check SPAS
Erase DTC (MDPS is not to be replaced).
C1612,C1646
TCU signal error
Check TCU
C1628,C1633,C1656
Clutster signal error
Check cluster
C1692,C1693
VSM signal error
Check VCM
C1260
Steering angle signal error
Check after resetting steering angle zero point
Reset Steering angle zero point
If C1259 does not occur, check CAN line.
Erase DTC
C1611
CAN TIME OUT EMS
1. Check G-SCAN condition
Check engine ECU, chassis CAN line
C1613
Engine signal error
2. Check connector connection
Check EMS (Engine ECU)
C1616
CAN BUS OFF
3. Check ECU CAN connector.
Check chassis CAN line
C1622
Vehicle speed signal error
4. Check MDPS ground line
Check EMS (Engine ECU)
C1814
CAN SAS signal error
Check SAS unit
Erase DTC
C1704
ECU relay error
Check after erasing the DTC, Check ECU connector
In case of reoccurrence, replace MDPS power pack
C1659
CAN SAS signal not entered
Check SAS UNIT, chassis CAN line.
Erase DTC
C1804
LKAS signal not entered
Check LKAS ECU
Erase DTC
C1805
LKAS signal error
C1812
GATEWAY signal not entered
Check engine ECU CAN line
Erase DTC
C1817
GATEWAY signal error
C1704
ECU relay error
Check after erasing the DTC, Check ECU connector
In case of reoccurrence, replace MDPS power pack

Checking Connectors and Wiring
1.
Checking Connectors and Wiring.
Check for damage, push-back, or improper connection in each connector and wiring.
(1)
Check the wiring on the vehicle side.
- Check for open / short - circuit due to faulty connection, damage, or foreign substance.

Hyundai Palisade. Repair procedures

Hyundai Palisade. Repair procedures   
The following phenomena are not malfunctions when the MDPS warning lamp is not lit.
•
There is no auxiliary steering force temporarily during the MDPS system self-diagnosis time (about 2 seconds) immediately after the engine starts, but this is not a malfunction.
•
There is noise due to relay connection when the engine is on or off, but this is a normal operation sound.
•
There is noise caused by motor rotation when operating the steering wheel in a stationary or low-speed driving state, but this is a normal operating sound.
MDPS(Motor Driven Power Steering) Handling precautions
1.
A failure may occur due to the internal damage when a new partial part is dropped, impacted or excessive external load is applied.
→ If a partial part is impacted or is dropped, replace it with a new part.
2.
If excessive impact is applied when assembling the steering wheel, center point of the torque sensor may be warped.
→ Caution is needed when tightening by excessive impact.
3.
Be careful for the damage to the wiring due to deformation, when detaching/attaching the contactor or excessive external force is applied.
→ Excessive insertion of the connector or using after removal is prohibited.
4.
Caution is needed for partial part storage and replacement work under abnormal condition of the temperature and humidity.

    Schematic Diagrams MDPS Circuit Diagram Harness Connector Type Pin No Description MDPS Power 1 Battery + 2 Battery - MDPS Unit 1 IGN1 2 - 3 - 4 - 5 - 6 - 7 C-CAN [High] 8 C-CAN [Low]

    Repair procedures Replacement 1. Turn the ignition switch OFF and disconnect the battery negative (-) cable. 2.

    Other information:

    Hyundai Palisade (LX2) 2020-2026 Service Manual: Blower Motor

    Repair procedures Inspection 1. Connect the battery voltage and check the blower motor rotation. 2. If the blower motor does not operate well, substitute with a known-good blower motor and check for proper operation.

    Hyundai Palisade (LX2) 2020-2026 Service Manual: Troubleshooting

    Trouble Symptom Charts Trouble Symptom 1 Trouble Symptom 2 Trouble symptom Probable cause Remedy The set vehicle speed varies greatly upward or downward "Surging" (repeated alternating acceleration and deceleration) occurs after set

    Categories

     
    Copyright © 2026 www.hpalisadelx.com - 0.0153